为应对日益严峻的环境和能源污染问题,将废弃生物质资源转化为高性能的能源和环境功能材料成为了当前重要的研究方向。生物质基多孔炭具有良好的化学稳定性、高比表面积、独特的结构、缺陷和化学组成,使其在环境修复和能源储存领域具有广阔的应用前景。因此,开发一种环境友好、成本低廉的高性能生物质基多孔碳材料对能源可持续利用和环境修复具有重要意义。生态环境工程技术研发中心徐曼曼老师等提出了将废弃生物质自身天然灵巧的组织结构纳为模板范畴,从原料和结构提高农林固废资源的高值化利用效率,并以“Self-templating synthesis of biomass-based porous carbon nanotubes for energy storage and catalytic degradation applications”发表于绿色能源与环境领域国际知名学术期刊《Green Energy & Environment》。

图1 灵芝药渣基多孔碳纳米管的制备及应用示意图

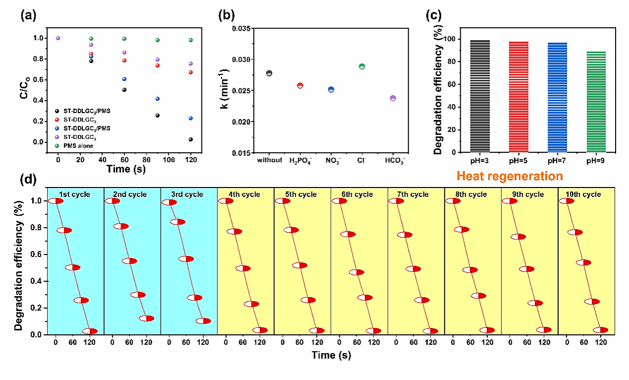
图2 灵芝药渣基多孔碳纳米管活化过硫酸盐去除CAP性能研究
该研究通过低温炭化固定废弃生物质(灵芝药渣)自身的中空显微结构,通过高温活化炭化在管壁上造孔,成功制备了多孔碳纳米管(ST-DDLGCx),并用于卡被他滨的催化降解和超级电容器的电极材料。ST-DDLGC2对无机阴离子具有良好的抗干扰能力,并且在较宽的pH范围内具有优异的性能性能,120 min后对CAP的降解率为97.3%。作为超级电容器电极,当电流密度为0.5A g-1时,ST-DDLGC3基超级电容器装置的比电容高达328.1 F g-1。当循环10,000次后,电容的保持率为98.6%。结果表明,自模板生物质基多孔碳管具有优异的PMS活化能力和超级电容器电极性能。本研究提供了一种环境可持续和低成本的碳材料制备方法,可用于解决实际应用中的环境和能源问题。
文章链接:https://doi.org/10.1016/j.gee.2023.10.005
(撰稿、一审:徐曼曼;二审:尹华勤;三审:李长平)